The early adulthood weight gain risk has been identified as a significant factor affecting long-term health, with new research suggesting that gaining weight between ages 17 and 29 may increase the likelihood of early death.
Study Reveals Critical Timing of Weight Gain
A large-scale study tracking more than 600,000 individuals found that when weight gain occurs can be just as important as how much weight is gained.
Researchers observed that individuals who developed obesity early in life faced higher mortality risks compared to those who gained weight later.
Key Findings from the Study
- Obesity between ages 17 and 29 linked to higher mortality
- Approximately 70 percent increased risk of death observed
- Long-term exposure to obesity identified as a major factor
The early adulthood weight gain risk stands out as a key concern in long-term health outcomes.

Why Timing Matters More Than Total Weight
Experts suggest that early weight gain exposes the body to prolonged biological stress, which may increase the risk of chronic diseases over time.
Health Risks Associated with Early Weight Gain
The study highlights several health conditions linked to obesity, especially when it begins earlier in life.
Major Health Conditions Identified
- Cardiovascular diseases such as heart attacks and stroke
- Type 2 diabetes
- Certain types of cancer
These conditions contribute significantly to the early adulthood weight gain risk observed in the research.
Role of Long-Term Biological Stress
Extended exposure to excess weight may lead to:
- Chronic inflammation
- Insulin resistance
- Increased strain on vital organs
How Researchers Conducted the Study
The research followed participants over decades, analyzing weight changes and health outcomes.
Data Collection Approach
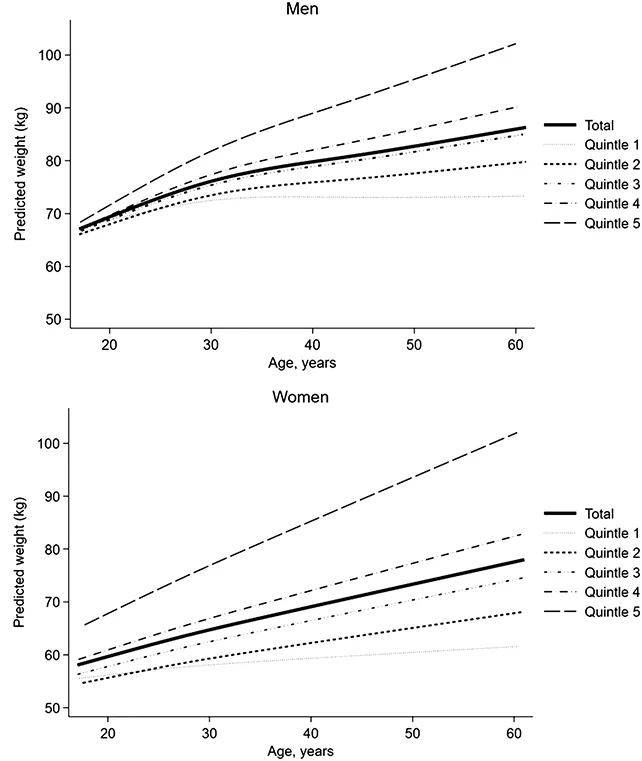
- Over 600,000 participants included
- Weight tracked from ages 17 to 60
- At least three measurements recorded per participant
Definition of Obesity in the Study
Obesity was classified using Body Mass Index (BMI), with a value of 30 or higher marking the onset.
The early adulthood weight gain risk was calculated based on when participants first crossed this threshold.

Differences Between Early and Late Weight Gain
The study found notable differences in risk depending on when weight gain occurred.
Early vs Late Weight Gain
- Early weight gain linked to higher mortality
- Late adulthood weight gain showed lower relative risk
- Duration of obesity played a critical role
Impact of Obesity Duration
Researchers believe that the length of time the body remains overweight is a major factor driving health risks.
Gender Differences in Weight Gain Impact
The study also revealed variations between men and women.
Findings in Women
For women, cancer-related mortality risk remained relatively consistent regardless of when weight gain occurred.
Possible Role of Hormonal Changes
Researchers suggest that hormonal factors, such as menopause, may influence how weight gain affects health outcomes.
Limitations of the Study
While the findings are significant, researchers acknowledged certain limitations.
Factors Not Included
- Diet and nutrition habits
- Physical activity levels
- Fat distribution in the body
These factors could influence the early adulthood weight gain risk and may be explored in future studies.
Need for Further Research
Future research may include:
- More detailed lifestyle data
- Advanced obesity measurements
- Long-term behavioral analysis
Public Health Implications
The findings carry important implications for public health policies and prevention strategies.
Importance of Early Prevention
Experts emphasize the need to:
- Prevent obesity at a younger age
- Promote healthy lifestyles early in life
- Increase awareness of long-term risks
The early adulthood weight gain risk highlights the importance of early intervention.
Understanding Risk Statistics
Researchers caution that risk percentages may vary, but the overall trend remains clear: earlier weight gain increases long-term health risks.
FAQ Section
What is early adulthood weight gain risk?
It refers to the increased health and mortality risk associated with gaining weight between ages 17 and 29.
Why is early weight gain more dangerous?
It exposes the body to longer periods of biological stress, increasing the risk of chronic diseases.
What diseases are linked to early weight gain?
Cardiovascular disease, type 2 diabetes, and certain cancers are commonly associated.
Can early weight gain risks be reduced?
Yes, through healthy lifestyle choices, balanced diet, and regular physical activity.
Conclusion
The early adulthood weight gain risk underscores the importance of when weight gain occurs, not just how much. With strong links to long-term health issues and increased mortality, the findings highlight the need for early prevention and greater awareness of weight-related health risks.
PLEASE CLICK HERE FOR MORE NEWS
